| Resampling Methods |
|
If a product is projected it comes up that the pixel centers of the target product generally not correspond to
the centers of the
pixels of the input product. Resampling entitles the process of determination and interpolation of pixels in the
source product for
computation of the pixel values in the target product. The effects of resampling will especially be visible
if the pixels in the target product are larger than the source pixels.
BEAM provides three different resampling methods for this computation.
Every pixel value in th output product is set to the nearest input pixel value.
| Pros | Cons |
|---|---|
| Very simple, fast | Some pixels get lost and others are duplicated |
| No new values are calculated by interpolation | Loss of sharpness |
| Fast, compared to Cubic Convolution resampling |
Calculation of the new pixel value is performed by the weight of the four surrounding pixels.
| Pros | Cons |
|---|---|
| Extremas are balanced | Less contrast compared to Nearest Neighbour |
| Image losses sharpness compared to Nearest Neighbour | New values are calculated which are not present in the input product |
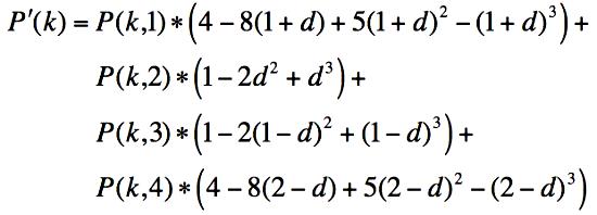
Calculation of the new pixel value is performed by weighting the 16 surrounding pixels.
| Pros | Cons |
|---|---|
| Extremas are balanced | Less contrast compared to Nearest Neighbour |
| Image is sharper compared to Bi-linear Interpolation | New values are calculated which are not present in the input product |
| Slow, compared to Nearest Neighbour resampling |
![]() |
![]() |
![]() |
| Nearest Neighbour | Bi-linear Interpolation | Cubic Convolution |